Haute de page




Formules et calculs des pertes de charge

Découvrez nos logiciels


Calambda Choix énergie Caldeau CapteSol SpeeDeperd ClimAperd Réseauxion RapidConso Aquaxion

Sélectionner un autre dossier



Formules et calculs des pertes de charge




Introduction aux formules de calculs des pertes de charge

Pour le domaine du génie climatique, les pertes de charge sont de deux types:
- Pertes de charge régulières
- Pertes de charge singulières.
En réalité, les pertes de charges ne peuvent êtres "régulières" du simple fait quelles évoluent le long d'un circuit (ouvert ou fermé)

Les pertes de charge

En fait, les pertes de charge se répartissent en fonction de:
- la force motrice initiale
- la température du fluide et son évolution
- du diamètre et nature des conduits parcourus
- des accidents de parcours
- de l'utilisation du fluide transporté et prélevé le long du circuit.
Le meilleur outil pour la répartition des pertes de charge, c'est l'équilibrage hydraulique, un logiciel dédié est conseillé.

Les fluides les plus utilisés en génie climatique sont l'eau et l'air.
Les formules présentées ci-dessous pour le calcul de perte de charge, s'appliquent à ces deux fluides avec quelques particularités pour l'air, et notamment:
- en fonction de l'altitude, la masse volumique et la viscosité ont des répercutions importantes sur les résultats.
- la prise en compte des conduits non circulaires, très rependu sur les installations de conditionnement d'air, d'ou des calculs des pertes de charge particuliers.


Organisation des calculs

Les pertes de charge


Organisation des pertes de charge


Eléments de calculs des pertes de charge

La détermination des pertes de charge régulières nécessite la connaissance de formules et le calcul de plusieurs facteurs à savoir;

Pour le fluide:
- sa nature (eau/air/autre)
- sa viscosité (v) cinématique en m²/s pour une température (t°C) donnée
- le débit véhiculé (Q) en m3/h

Pour le conduit:
- sa rugosité (E) en mm (acier = 0.05 mm - cuivre = 0.005 mm - polyéthylène = 0.007 mm)
- le diamètre (D) en mm
- la vitesse du fluide (V) en m/s
Nb: La rugosité du conduit à une répercution très importante sur les pertes de charge.


Calcul de la vitesse du fluide suivant la formule


Calcul de la vitesse
ou:
- Q est la masse du fluide en m3/h
- D le diamètre en mm
- 354 une constante


Le nombre de Reynolds (Re)

Pour les calculs des pertes de charges, le nombre de Reynolds détermine le régime d'écoulement, laminaire, transitoire ou turbulent, suivant la formule:

Calcul du nombre de Reynolds

ou:
- V est la vitesse en m/s
- D est le diamètre en mm
- v est la viscosité cinématique du fluide en m²/s pour une température (t°C) donnée

Si Re est inférieur à 2300 le régime d'écoulement est laminaire
Si Re est compris entre 2300 et 3000 le régime d'écoulement est transitoire
Si Re est supérieur à 3000 le régime d'écoulement est turbulent.
En génie climatique et les pertes de charges, le régime turbulent est le plus fréquent pour les fluides compressibles ou incompressibles (eau/air).


Les facteurs de frottements

Le facteur de frottement du régime lamilaire (F)
Pour le régime laminaire c'est très simple car la rugosité du conduit n'intervient pas pour déterminer les pertes de charges, la formule de son calcul est:

Calcul facteur simple

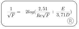
Le facteur de frottement du régime turbulent (F)

Pour le régime turbulent, cela se complique sérieusement par l'utilisation de la célèbre et implicite équation développé par Colebrook-White.
- Implicite (adjectif): Qui sans être exprimé formellement peut être déduit de ce qui est exprimé.
- Mathématique (fonction): Fonction implicite par rapport à une variable, pour laquelle on ne peut pas directement calculer les valeurs relatives aux valeurs de la variable.
La détermination du facteur de frottement est l'un des éléments les plus importants de la formule des calculs des pertes de charge.
La formule la plus utilisée est celle de Colebrook-White:

Calcul facteur Colebrook

ou:
- F est le facteur de frottement à déterminer pour le calcul des pertes de charge.
- E est l'épaisseur de la rugosité du conduit en millimètre.
- D est de diamètre de conduit en millimètre.
- Re est le nombre de Reynolds.

L'application de cette formule implicite impose de procéder par itération.
L'itération par essais sucessif permet la résolution de cette équation complexe dont la variable (F) a déterminer est non explicite.
Nb: L'utilisation d'un logiciel pour résoudre l'équation de Colebrook-White est indispensable.


Les pertes de charge régulières (J)

La formule de calcul des pertes de charge régulières (J) est:


Pertes de charge régulières

ou:
- J est la perte de charge en Pascal (Pa).
- F est le facteur de frottement.
- Q est le débit du fluide (m3/h).
- V est la vitesse de fluide en mètres par seconde.
- G est l'accélération de la pesanteur (soit 9.81 m/s²).
- D est le diamètre du conduit en millimètres.


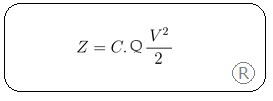
La perte de charge singulière (Z)

Dans un circuit chaque organe hydraulique créé une perte de charge qui lui est propre en fonction des débit et vitesse.
La formule générale de calcul de la perte de charge singulière (Z) est:

Pertes de charge singulières

ou:
- Z est la perte de charge en Pascal (Pa).
- C est le coefficient caractéristique propre à l'organne hydraulique (sans dimension).
- Q est le débit du fluide (m3/h).
- V est la vitesse de fluide (m/s).
- G est l'accélération de la pesanteur, soit 9.81 m/s².

Pour obtenir la perte de charge singulière en millimètres de colonne d'eau, utilisez la formule

Pertes de charge mmce


Ci-dessous des copies d'écran extraites du logiciel Réseauxion

Quelques valeurs du coéfficient C relatifs aux changements de direction pour des accessoires "eau chauffage".

Pertes de charge accessoires


Spécificités relatives aux calculs des pertes de charge pour les conduits d'air

Pour la mécanique des fluide, l'air est considéré comme un fluide visqueux compressible.
S'agissant des calculs des pertes de charge des installations de conditionnement d'air, il y a lieu de tenir compte:
- de la correction des masse volumique et de la viscosité de l'air en fonction de l'altitude.
- du type du conduit non circulaire (carré, rectangulaire ou ovale) et de sa rugosité.

Formules de correction en fonction de l'altitude

Facteur de correction pour l'altitude (Ca)
Pertes de charge altitude


Correction de la masse volumique (M)
Perte de charge air


Correction de la viscosité (v)
Pertes de charge viscosité

ou:
- H est l'alitude à considérer (m)
- t est la température de l'air à considérer (°C)
- Ca est la pression barométrique corrigée en fonction de l'altitude (mb)
- M est la masse volumique de l'air corrigée en fonction de l'altitude (Kg/m3)
- v est la viscosité corrigée en fonction de l'altitude (m²/s)


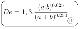
Perte de charges pour les conduits d'air non circulaire (De)

Les conduits d'air ne sont pas toujours circulaire, ils sont très souvent rectangulaire.
Pour ce type de conduits, il faut alors déterminer un diammètre équivalent (De) suivant la formule empirique:

Pertes de charge conduit

ou:
- De est le diamètre équivalent en mm
- a et b sont respectivement les côtés de la section en mm
Ce diamètre équivalent correspond au diamètre d'un conduit circulaire qui, avec un même débit, engendre les mêmes pertes de charge.

Bien entendu, il faut également tenir compte de la rugoristé (E) des conduits.
- tôle zingué (lisse) = 0.08 mm
- PVC (très lisse)= 0.04 mm
- polyéthylène (rugueux) = 0.8 mm)
- ciment (très rugueux) = 2.8 mm)

Une fois ces spécificités intégrées, le processus des calculs des pertes de charge reste le même que pour un fluide incompressible.


Pour les accessoires des conduits d'air
Ci-dessous des copies d'écran extraites du logiciel Réseauxion

Quelques valeurs du coéfficient C relatifs aux conduits et changements de direction pour des accessoires "air chauffage" intervenants dans le calculs des pertes de charge des conduits d'air.
Pertes de charge air régulières




Afin d'optimiser vos recherches sur Google utilisez les expressions (faites un copier coller)

Pertes de charge
Calculs perte de charge
Reynolds
Pertes de charge singulières
Pertes charge
Formule perte de charge
Pertes de charge régulières
Pertes de pression
Perte de charge
Régime écoulement turbulent
Perte charge
Logiciel pertes de charge
Calculs pertes de charge
Colebrook-White
Formules pertes de charge
Régime écoulement laminaire
Viscosté fluide
Pipe pressure drop calculations
Calcolo della caduta di pressione tubo

Découvrez nos logiciels


Calambda Choix énergie Caldeau CapteSol SpeeDeperd ClimAperd Réseauxion RapidConso Aquaxion